Disclaimer & Copyright Notices; Optimized for the MS Internet Explorer

Storm Drainage Works Approval Policy (SDWAP) of the NS Dept. of Environment & Labour (NSEL)

Soil & Water Conservation Society of Metro Halifax (SWCSMH)

April 05, 2006      Select dealings with the Nova Scotia Department of the Environment & Labour (NSDEL)


Contents:



Storm Drainage Works Approval Policy (SDWAP); December 10, 2002


 (cf. our educational Tv show listings where John Theakston MEng PEng of the NSEL was the valued guest: Show# 10, Show# 41, Show# 42, Show# 107; in a show or two the cumulative impacts of all urban pollutants were indeed addressed in a general fashion during 1988-90)

[Img-sdwap02_1.jpg]
[Img-sdwap02_2.jpg]
[Img-sdwap02_3.jpg]
[Img-sdwap02_4.jpg]
[Img-sdwap02_5.jpg]



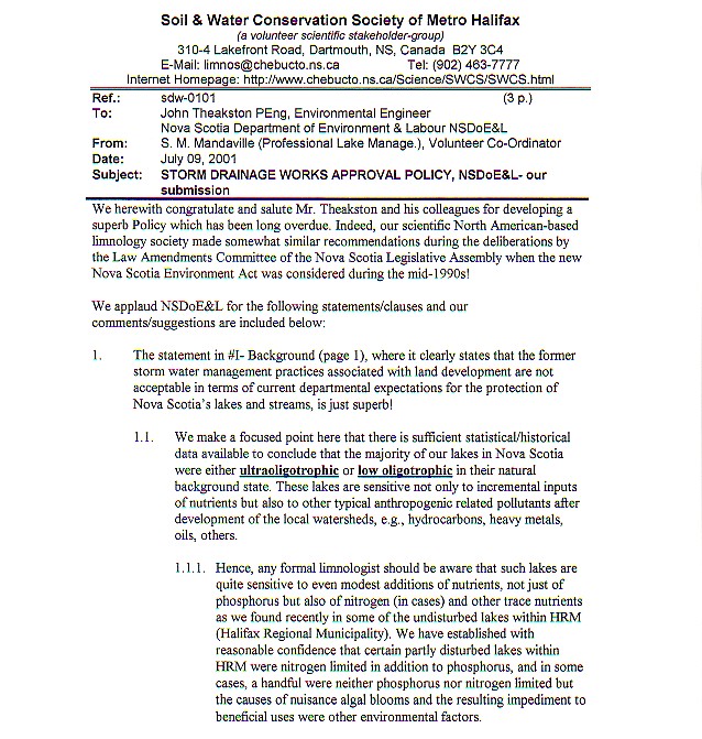
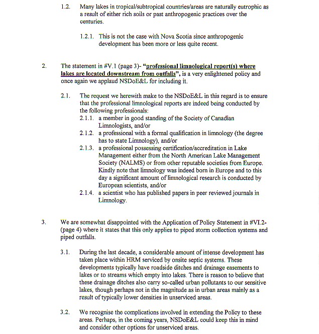
Our submission dated July 09, 2001

[Img-sdwap2_1.jpg]
[Img-sdwap2_2.jpg]
[Img-sdwap2_3.jpg]


Select dealings with the Nova Scotia Department of the Environment & Labour (NSDEL)                        Soil & Water Conservation Society of Metro Halifax Master Homepage


We salute the Chebucto Community Net (CCN) of Halifax, Nova Scotia, Canada for hosting our web site, and we applaud its volunteers for their devotion in making `CCN' the best community net in the world!



Google