Disclaimer & Copyright Notices; Optimized for the MS Internet Explorer

Seiche

(the rhythmic oscillations observed in enclosed waters)

Soil & Water Conservation Society of Metro Halifax (SWCSMH)

July 26, 2006      Limnology


Contents:

Img-pin.gif  Overview

Img-pin.gif  Tsunamis



Overview

(From Wikipedia, the free encyclopedia)

A seiche (pronounced say'sh) or an underwater wave is a standing wave in a body of water.

The term was first promoted by the Swiss hydrologist François-Alphonse Forel in 1890, who had observed the effect in Lake Geneva, Switzerland. The word originates in a Swiss French dialect word that means "to sway back and forth", which had apparently long been used in the region to describe oscillations in alpine lakes.

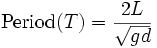
The period of a seiche in an enclosed rectangular body of water is usually represented by the formula:

Img-seiche.png

in which L is the length, d the average depth of the body of water, and g the acceleration of gravity.

Seiches are often imperceptible to the naked eye and observers on the surface may notice that a seiche is happening. The effect is caused by natural resonances in a body of water. They often occur between warm and cold-water layers, notably in Loch Ness, Scotland. Some evidence cited for the Loch Ness monster and the Lake Champlain monster may trace to seiches.

Small rhythmic seiches are almost always present on larger lakes, and the frequency of the oscillation is determined by the size of the body, its depth and contours, and the water temperature. On the North American Great Lakes seiche is often called slosh. It is always present but is usually unnoticeable except during periods of unusual calm. Harbours, bays and estuaries are often prone to small seiches with amplitudes of few inches and periods of a few minutes.

Larger seiches can be caused by wind, earthquakes or underwater landslides. Lake Erie is particularly prone to wind-caused seiches because of its shallowness and elongation. These can lead to extreme seiches of up to 15 feet (5 meters) between the ends of the lake. The effect is similar to a storm surge like that caused by hurricanes along ocean coasts, but the seiche effect can cause oscillation back and forth across the lake for some time. In 1954, Hurricane Hazel piled up water along the northwestern Lake Ontario shoreline near Toronto, causing extensive flooding, and established a seiche that subsequently caused flooding along the south shore. Lake seiches can occur very quickly: on July 13, 1995, a big seiche on Lake Superior caused the water level to fall and then rise again by three feet (one meter) within fifteen minutes, leaving some boats hanging from the docks on their mooring lines when the water retreated.

Lakes in seismically active areas, such as Lake Tahoe in California/Nevada, are significantly at risk from seiches. Geological evidence indicates that the shores of Lake Tahoe may have been hit by seiches and tsunamis as much as 30 feet (10 m) high in prehistoric times, and local researchers have called for the risk to be factored into emergency plans for the region.

Earthquake-generated seiches can be observed thousands of miles away from the epicentre of a quake. Swimming pools are especially prone to seiches caused by earthquakes, as the ground tremors often match the resonant frequencies of small bodies of water. The 1994 Northridge earthquake in California caused swimming pools to overflow across southern California, while the massive earthquake that hit Alaska in 1964 caused seiches in swimming pools as far away as Puerto Rico. Following the 2004 Indian Ocean earthquake, it was postulated that the shock waves could have induced seiches as far away as Oklahoma.



Tsunamis

A related effect is the tsunami, a wave train (series of waves) generated in a body of water by a pulsating or abrupt disturbance that vertically displaces the water column. On occasion, tsunamis can produce seiches as a result of local geographic peculiarities. For instance, the tsunami that hit Hawaii in 1946 had a fifteen-minute interval between wave fronts. The natural resonant period of Hilo Bay is about thirty minutes. That meant that every second wave was in phase with the motion of Hilo Bay, creating a seiche in the bay. As a result, Hilo suffered worse damage than any other place in Hawaii, with the tsunami/seiche reaching a height of 14 m and killing 159 inhabitants. Seiche waves may continue for several days after a tsunami.

Img-2004_Indonesia_Tsunami_Complete.gif The 2004 Indian Ocean earthquake was an undersea earthquake that occurred at 00:58:53 UTC (07:58:53 local time) on December 26, 2004. The earthquake generated a tsunami that was among the deadliest disasters in modern history. At a magnitude of 9.0, it was the largest earthquake since the 9.2 magnitude Good Friday Earthquake off Alaska in 1964, and tied for fourth largest since 1900.

The earthquake originated in the Indian Ocean just north of Simeulue island, off the western coast of northern Sumatra, Indonesia. The resulting tsunami devastated the shores of Indonesia, Sri Lanka, South India, Thailand and other countries with waves of up to 15 m (50 feet) high. It caused serious damage and deaths as far as the east coast of Africa, with the furthest recorded death due to the tsunami occuring at Port Elizabeth in South Africa, 8000 km (5000 miles) away from the epicentre.

Anywhere from 165,000 to 234,000 people are thought to have died as a result of the tsunami, and the count is not yet complete. The true final toll may never be known due to bodies having been swept out to sea, but current estimates use conservative methodologies. Relief agencies warn of the possibility of more deaths to come as a result of epidemics caused by poor sanitation, but the threat of starvation seems now to have been largely averted. The plight of the many affected people and countries prompted a widespread humanitarian response.



Limnology                     Soil & Water Conservation Society of Metro Halifax (SWCSMH) Master Homepage


We salute the Chebucto Community Net (CCN) of Halifax, Nova Scotia, Canada for hosting our web site, and we applaud its volunteers for their devotion in making `CCN' the best community net in the world


Google