Disclaimer & Copyright Notices; Optimized for the MS Internet Explorer


Tracking environmental changes in Pockwock Lake using diatoms as paleoecological indicators

BSc(Hons) thesis of Amy Tropea, April 2005

Acknowledgements and a recommended textbook

Web page of the Soil & Water Conservation Society of Metro Halifax (SWCSMH)

July 15, 2010      Pockwock Lake, Halifax


Contents:


click for powerpoint presentation <--Click the icon for a PowerPoint presentation by the PEARL, Queen's University researchers on "Assessment of water quality using paleoecological indicators", or click click for PDF for the PDF version  click for info on PDF documents



Abstract

[Img-tropea2.jpg]




Stratigraphic plot of the dominant diatom taxa

[Img-tropea3.jpg]
[Img-tropea4.jpg]



Weighted-average optima for common taxa in Pockwock and Russell Lakes

[Img-tropea5.jpg]
[Img-tropea6.jpg]



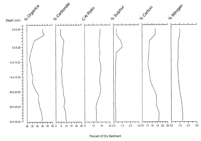
Stratigraphic plot of physical analysis on sediment core

[Img-tropea7.jpg]
[Img-tropea8.jpg]



Summary

[Img-tropea9.jpg]



Acknowledgements and a recommended textbook

... with thanks to Prof. Dr. John Smol and Brian Ginn of the PEARL, Queen's University, Ontario for sharing the thesis!

Smol, J.P. 2008. Pollution of Lakes and Rivers: A Paleoenvironmental Perspective. 2nd ed. Blackwell Publishing, Oxford. x,383 pp. ISBN-13: 978-1-4051-5913-5.


Pockwock Lake, Halifax                     Soil & Water Conservation Society of Metro Halifax (SWCSMH) Master Homepage

We salute the Chebucto Community Net (CCN) of Halifax, Nova Scotia, Canada for hosting our web site, and we applaud its volunteers for their devotion in making `CCN' the best community net in the world



Google